Monday, May 31, 2021

Offer and acceptance essay

Offer and acceptance essay

offer and acceptance essay

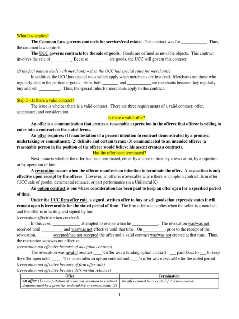
 · Cyril and Barry had a legally binding contract, there is an agreement between both parties and therefore, offer and acceptance is complete. As a general rule, an offer can be revoked at any time before it is accepted.5/5(1) Offer and acceptance has been explained in the following terms: ‘There must be evidence that the parties had each from an objective perspective engaged in conduct manifesting their assent, and a contract will be formed when the parties have met such a blogger.com objective perspective means that it is only necessary that somebody gives the impression of offering or accepting contractual consists of an offer and an acceptance. An offer is defined as indication of the terms upon which an individual is ready to be obligated. On the other hand, an acceptance is the agreement of the terms that have been offered. The parties associated with the agreement are known as an offeror or an offeree





For a Simple contract to be valid one party must make an offer and the other accept it see: Acceptance of offer. The offer will usually indicate the form the acceptance should take e. In seeking to prove that a contract was in existence, it will be necessary to show that there was a definite offer. Certain things look like offers, but aren't always what they seem. Here are some examples. Invitations to treat are not offers see: Invitation to treat. For example, putting an item on display in a shop window with a price label is not an offer, it is merely an invitation to treat.


Pre-contractual negotiations, particularly in Conveyancing, may have the appearance of offers, but it will be necessary to satisfy the courts that a real offer has been made. Tenders see: Tender are not offers unless they are construed as a Unilateral contract. An offer can be withdrawn revoked at any time up to acceptance, provided it is communicated appropriately to the offeree. There are a few of complications with this.


Placing a notice of the withdrawal in the post does not constitute the withdrawal; it has to be received and understood by the offeree see: Byrne vvan tienhov en If the offer offer and acceptance essay the basis for a unilateral contract, it can be difficult to revoke. Typically the offerer must take reasonable steps to revoke the offer in the same form as it was originally made. Hire a subject expert to help you with Offer and acceptance essay and Acceptance.


For example, if the offer was made in a newspaper, then it should probably be revoked the same way. Moreover, it is particularly problematic if a unilateral offer is revoked before full completion of the act that constitutes the acceptance. In Carlill v Carbolic, for example see: Carlill v carbolic smoke ball coMrs Carlill was able to demonstrate that she had completed the acceptance, so Carbolic could not have escaped its obligations be revoking the offer.


However, suppose Mrs Carlill had started using the Smoke Ball, offer and acceptance essay, and written to Carbolic expressing her wish to claim the compensation if it failed, offer and acceptance essay. If Carbolic had withdrawn the offer at that time, could the agreement be enforced? There is no clear ruling on this; the decision in Errington v Errington sees to imply that once the acceptors consideration is executory that is, Mrs Carlill has begun using the Smoke Ballthen the offer cannot be revoked see: Errington v errington There are, however, offer and acceptance essay, some cases with the opposite conclusion.


An offer may be self-terminating if the terms of the offer include, for example, a time limit for acceptance. If no time limit is given, an offer may be deemed by the courts to have expired after a 'reasonable time'. This will be the case even if the offerers have not explicitly revoked the offer. The death of either the offerer or offeree, prior to acceptance, probably constitutes a revocation of the offer.


Offer and Acceptance. Free Essays - PhDessay. com, Oct 14, Accessed May 31, comOct The 78th Annual Oscar Awards on the 5th of March,was more of a gay gathering than usual offer and acceptance essay the assembling of a large number of homosexuals, as their. Greg Oberschelp CAS 1 PM Dr. The Tradition: The Holy Grail was a vessel used by Christ at the Last Supper.


Given to his grand-uncle, St. Joseph of Arimathea, it was used by him to collect, offer and acceptance essay. MAS operating system can increase efficiency in management. It was built up with Microsoft Office and Visual Basic offer and acceptance essay has been seen as good financial accounting software, offer and acceptance essay. Sage software. The Assessment Process Maria Barrezueta Kaplan University The Assessment Process Many sources of energy exist all around us, the two main forms of energy are kinetic and potential.


While potential. We use cookies to give you the best experience possible. PhD Essay Essay Examples Offer and Acceptance. Related Essays Offer and Acceptance Offer and Acceptance. Hire verified expert. Broke Back Mountain. Timely Exchange in a Highly Competitive Market. Yes We Can. The Meaning of Holy Grail. MAS operating system. Unit 3: Screening and Assessment. Similar Topics Nanotechnology Programming Virtual Reality Effects of Technology Data Animation Robots Artificial Intelligence Vending Machine Mobile Phone Face Recognition Globalization Automation Modern Technology 3d printing Advantages Of Technology Communication Technology Cloud Computing Computer Camera.


Not Finding What You Need? Search for essay samples now. Save time and let our verified experts help you.




How to Analyze Acceptance \u0026 The Mailbox Rule on a Contracts Essay

, time: 24:07






offer and acceptance essay

Offer and acceptance has been explained in the following terms: ‘There must be evidence that the parties had each from an objective perspective engaged in conduct manifesting their assent, and a contract will be formed when the parties have met such a blogger.com objective perspective means that it is only necessary that somebody gives the impression of offering or accepting contractual consists of an offer and an acceptance. An offer is defined as indication of the terms upon which an individual is ready to be obligated. On the other hand, an acceptance is the agreement of the terms that have been offered. The parties associated with the agreement are known as an offeror or an offeree WhatsApp With reference to the legal rules relating to offer and acceptance of a contract, advise the club whether it can claim the joining fee from Mary, Frank and Ali. Mary posted her application. She telephoned the club to confirm whether or not her application was accepted but was unable to get through to speak to anyone

No comments:

Post a Comment

Legalizing drugs essay

Legalizing drugs essay Argumentative Essay On Legalization Of Drugs Words6 Pages In recent years, one of the worldwide trending topics has b...